µØ¸ßÐÁ¿Ú·þÈÜÒº
ÓÃÓÚÓ¤¶ù¼°¶ùͯµÄ³äѪÐÔÐÄÁ¦Ë¥½ß¼°Ä³Ð©ÊÒÉÏÐÔÐÄÂɱä̬¡£
µØ¸ßÐÁ¿Ú·þÈÜҺ˵Ã÷Êé
Çë×ÐϸÔĶÁ˵Ã÷Êé²¢ÔÚҽʦÁìµ¼ÏÂʹÓÃ
¡¾Ò©Æ·Ãû³Æ¡¿
ͨÓÃÃû³Æ£ºµØ¸ßÐÁ¿Ú·þÈÜÒº
Ó¢ÎÄÃû³Æ£ºDigoxin Oral Solution
ººÓïÆ´Òô£ºDigaoxin Koufurongye
¡¾³É·Ý¡¿
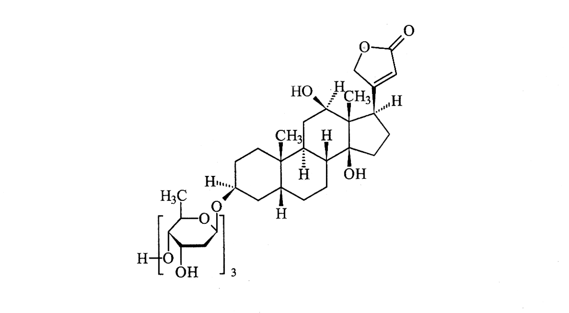
»¯Ì¨¸¦³Æ£º±¾Æ·ÖØÒª³É·ÝΪµØ¸ßÐÁ£¬3¦Â-£Û£ÛO-2£¬6-¶þÍÑÑõ-¦Â-D-ºË-¼ºßÁà«ÌÇ»ù-(1¡ú4)-O-2£¬6-¶þÍÑÑõ-¦Â-D-ºË-¼ºßÁà«ÌÇ»ù-(1¡ú4)-2£¬6-¶þÍÑÑõ-¦Â-D-ºË-¼ºßÁà«ÌÇ»ù£ÝÑõ´ú£Ý-12¦Â£¬14¦Â-¶þôÇ»ù-5¦Â-ÐÄçÞ-20(22)Ï©ÄÚõ¥¡£
»¯Ñ§½á¹¹Ê½£º

·Ö×Óʽ£ºC41H64O14
·Ö×ÓÁ¿£º780.95
¡¾ÐÔ×´¡¿
±¾Æ·ÎªÎ¢»ÆÉ«µÄ³ÎÇåÒºÌ壬ÂÔÓд¼Î¶¡£
¡¾ÊÊÓ¦Ö¢¡¿
ÓÃÓÚÓ¤¶ù¼°¶ùͯµÄ³äѪÐÔÐÄÁ¦Ë¥½ß¼°Ä³Ð©ÊÒÉÏÐÔÐÄÂɱä̬¡£
¡¾¹æ¸ñ¡¿
30ml£º1.5mg£»100ml£º5mg
¡¾Ó÷¨ÓÃÁ¿¡¿
¶ÔÉöÖ°ÄÜÕý³£µÄ»¼¶ù°´Ìå³Á¸ø³öÑóµØ»Æ»¯Á¿µÄµØ¸ßÐÁ¿Ú·þÈÜÒºµÄÓÃÁ¿£º¿Ú·þ¡£¹ÄºÍÁ¿×ÜÁ¿£¬£¼2Ë꣬0.06¡«0.08mg/kg(Ï൱ÓÚ¿Ú·þÈÜÒº1.2¡«1.6ml/kg), £¾2Ë꣬0.04¡«0.06mg/kg(Ï൱ÓÚ¿Ú·þÈÜÒº0.8¡«1.2ml/kg);·Ö3¡«6´ÎʵÏֹĺ͡£ÒÔÀ´ÓÃÉÏÊöÁ¿µÄ1/4ΪÖðÈÕά³ÖÁ¿¡£
Ôç²ú¶ùºÍÐÂÉú¶ùÒËÓÃ1/3»ò1/2Á¿¡£Èç³öÏÖÐÄÂɱä̬µÈÖж¾¾°Ïó£¬Ó¦Í£Ò©»ò¼Ó·þÂÈ»¯¼Ø¡£
¡¾²»Á¼·´Ó³¡¿
1.³£¼ûµÄ²»Á¼·´Ó³Ô̺¬£ºÐ³öÏÖµÄÐÄÂɱä̬¡¢Î¸ÄÉÇ·°²»ò¶ñÐÄ¡¢Å»Í¡¢Ï¸¹Í´¡¢ÎÞÁ¦¡¢´àÈõ¡£
2.ÉÙ¼ûµÄ·´Ó³Ô̺¬£ºÊÓÁ¦ÍÌÍ»ò¡°É«ÊÓ¡±£¨Öж¾Ö¢×´Èç»ÆÊӵȣ©¡¢¸¹Ðº¡¢ÐÄÁéÒÖÓô»ò´íÂÒ¡£
3.º±¼ûµÄ·´Ó³Ô̺¬£ºÊÈ˯¡¢Í·Í´¼°Æ¤ÕݡÂéÕ¹ýÃô·´Ó³£©¡£
4.ÔÚÑóµØ»ÆµÄÖж¾²û·¢ÖУ¬ÐÄÂɱä̬×î³ÁÒª£¬×î³£¼ûÕßΪÊÒÐÔÔ粫£¬Ô¼Õ¼ÐÄÔà·´Ó³µÄ33%¡£Æä´ÎΪ·¿ÊÒ´«µ¼×èÖÍ£¬Õó·¢ÐÔ»ò¼Ó¿ìÐÔ½ÓÈÀÐÔÐ͝¹ý¿ì£¬Õó·¢ÐÔ·¿ÐÔÐ͝¹ý¿ì°é·¿ÊÒ´«µ¼×èÖÍ£¬ÊÒÐÔÐ͝¹ý¿ì¡¢ñ¼ÐÔÍ£²«¡¢ÐÄÊÒ¶¶¶¯µÈ¡£¶ùͯÖÐÐÄÂɱä̬±ÈÆäËû·´Ó³¶à¼û£¬µ«ÊÒÐÔÐÄÂɱä̬±È³ÉÈËÉÙ¼û¡£ÐÂÉú¶ù¿ÉÓÐP£R¼äÆÚµ¢¸é¡£
¡¾½û¼É¡¿
1.Óë¸Æ×¢Éä¼ÁºÏÓã»
2.ÈκÎÇ¿ÐÄÜÕÔì¼ÁÖж¾£»
3.ÊÒÐÔÐ͝¹ý¿ì¡¢ÐÄÊÒ¶¶¶¯£»
4.¹£×èÐԷʺñÐÍÐ¡£¨Èô°éÊÕËõÖ°Äܲ»È«»òÐÄ·¿¶¶¶¯ÈÔ¿ÉÀûÓã©£»
5.Ô¤¼¤×ÛºÏÕ÷°éÐÄ·¿¶¶¶¯»òÆË¶¯¡£
É÷ÓÃÓÚ£º
1.µÍ¼ØÑªÖ¢£»
2.²»ÆëÈ«ÐÔ·¿ÊÒ´«µ¼×èÖÍ£»
3.¸ß¸ÆÑªÖ¢£»
4.¼××´ÏÙÖ°ÄܵÍÏ£»
5.ȱѪÐÔÐÄÔಡ£»
6.Ð£ËÀ£»
7.Ðļ¡Ñ×£»
8.ÉöÖ°ÄÜÇÖº¦£»
9.¾Æ¾«¹ýÃô¡£
¡¾µ±¿àÖÔÏî¡¿
¶Ôñ¼ÐÔÐÄÂɵÄÇá¡¢ÖжȳäѪÐÔÐÄÁ¦Ë¥½ßµÄ»¼Õߣ¬µØ¸ßÐÁÄÜÔö³¤ÉäѪ·ÖÊý£¬¸ÄÉÆ×óÊÒÖ°ÄÜ£¬Ô¤·À²¡Çé¶ñ»¯£¬µ«¼±ÐÔÐ£ÉíºóµÄ×óÐÄÖ°Äܲ»È«£¨ÓÈÆäÊ×ÈÕ·¢²¡£©Ó¦É÷Óá£ÓÃÒ©ÆÚ¼ä¸Ã°ÑÎȼà²â£º
¢Ù Ѫѹ¡¢ÐÄÂɼ°ÐÄÂÊ£»
¢Ú Ðĵçͼ£»
¢Û ÐÄÖ°Äܼà²â£»
¢Ü µç½âÖÊÓÈÆä¼Ø¡¢¸Æ¡¢Ã¾£»
¢Ý ÉöÖ°ÄÜ£»
¢ÞÒÉÓÐÑ󵨻ÆÖж¾Ê±£¬Ó¦×÷µØ¸ßÐÁѪҩŨ¶È²â¶¨¡£¹ýÁ¿Ê±£¬ÓÉÓÚÐî»ýÐÔÓ×£¬£°ãÓÚÍ£Ò©ºó1¡«2ÌìÖж¾²û·¢Äܹ»ÏûÍË¡£ÈçµØ¸ßÐÁѪҩŨ¶ÈÔÚ2.0¡«2.5ng/mlÒÔÉÏ£¬Ó¦¾¯ÌèÑóµØ»Æ¹ýÁ¿¶¾ÐÔ·´Ó³¡£»¼Õß2-3ÖÜǰδÀûÓÃÑ󵨻ÆÀàÔì¼ÁÕߣ¬±ØÒªÊ±¿É˼¿¼´ÍÓ븺ºÉÁ¿£»ÉöÖ°Äܲ»È«Õߣ¬²»ÒËÀûÓõظßÐÁ£¬Ó¦Ñ¡ÓÃÑóµØ»Æ¶¾ÜÕ£»ÀûÓÃÑóµØ»Æ»¼Õß³£¶Ôµç¸´Âɼ«ÎªÃô¸Ð£¬Ó¦¸ß¶È¾¯Ì裻͸Îö²»ÄÜ´ÓÌåÄÚѸ¿ìÈ¥³ý±¾Æ·£»ÔÚ±¾Æ·ÒýÆðÑϳÁ»òÆëÈ«ÐÔ·¿ÊÒ´«µ¼×èÖÍʱ£¬²»Ò˲¹¼Ø£»ÀÏÄê¼°ÐéÈõÕßÔÚ³£ÓüÁÁ¿¼°ÑªÒ©Å¨¶Èʱ¾Í¿ÉÓÐÖж¾·´Ó³£»Ó¤Ó×¶ùÒªÔÚѪҩŨ¶È¼°Ðĵç¼à²âÏÂÔö³¤¼ÁÁ¿£»°ëË¥ÆÚ½Ï¶ÌµÄ±¾Æ·£¨°ëË¥ÆÚ¾ùÔÈΪ36Ó×ʱ£©£¬ÖðÈÕ¿Ú·þ0.25©J£¬¾5¸ö°ëË¥ÆÚ£¨Ô¼6¡«8ÈÕ£©¿É´ïµ½ÑóµØ»Æ»¯ÑªÒ©Å¨¶ÈµÄ96%¡£ÈçÈÔ²»ÄÜ´ïµ½Ò½ÖγÉЧ£¬¿ÉÊʵ±Ôö³¤¼ÁÁ¿¡£È粡Çé½Ï¼±£¬Îª½Ï¿ì´ïµ½ÓÐЧŨ¶È£¬ÈÔÐèÏȸø¸ººÉÁ¿£¬µ«¼ÁÁ¿Ðè¸ö±ð»¯£»µ±»¼ÕßÓÉÇ¿ÐÄÜÕ×¢ÉäÒº¸ÄΪ±¾Æ·Ê±£¬ÎªÅâ³¥Ò©Îï¼äÒ©´ú¶¯Á¦Ñ§²î¾à£¬±ØÒªµ÷Õû¼ÁÁ¿¡£
¡¾Ôи¾¼°²¸ÈéÆÚ¸¾Å®ÓÃÒ©¡¿Î´½øÐиÃÏî³¢ÊÔÇÒÎÞ¿¿µÃס²Î¿¼Îļþ¡£
¡¾¶ùͯÓÃÒ©¡¿Î´½øÐиÃÏî³¢ÊÔÇÒÎÞ¿¿µÃס²Î¿¼Îļþ¡£
¡¾ÀÏÄêÓÃÒ©¡¿Î´½øÐиÃÏî³¢ÊÔÇÒÎÞ¿¿µÃס²Î¿¼Îļþ¡£
¡¾Ò©ÎïÏ໥×÷Óá¿
£¨1£©ÓëÁ½ÐÔÃ¹ËØB¡¢Æ¤Öʼ¤ËØ»òʧ¼ØÀûÄò¼ÁÈç²¼ÃÀËûÄᣨbumetanide£©¡¢ÒÀËûÄáËᣨethacrynic acid£©µÈºÏÓÃʱ£¬¿ÉÒòµÍѪ¼Ø¶øÖÂÑ󵨻ÆÖж¾¡£
£¨2£©ÓëÔìËáÒ©£¨ÓÈÆäÈý¹èËáþ£©»òֹкÎü¸½Ò©Èç°×ÌÕÍÁ¡¢¹û½º¡¢¿¼À´Ï©°·£¨colestyramine£©ºÍÆäËûÒõÀë×Ó»¥»»Ê÷Ö¬¡¢Áøµª»ÇßÁण¨sulfasalazine£©»òÐÂÃ¹ËØ¡¢¶Ô°±»ùË®ÑîËáºÏÓÃʱ£¬¿ÉÒÖÔìÑ󵨻ÆÇ¿ÐÄÜÕÎüÊÕ¡£
£¨3£©Ó뿹ÐÄÂɱä̬ҩ¡¢¸ÆÑÎ×¢Éä¼Á¡¢¿É¿¨Òò»òÄâÉöÉÏÏÙËØÀàÒ©ºÏÓÃʱ£¬¿Éµ¼ÖÂÐÄÂɱä̬¡£
£¨4£©ÓÐÑϳÁ»òÆëÈ«ÐÔ·¿ÊÒ´«µ¼×èÖͶøÑª¼ØÕý³£µÄÑóµØ»Æ»¯»¼Õß²»Ó¦Í¬Ê±ÀûÓüØÑΣ¬µ«àçàºÀà
ÀûÄò¼ÁÓ뱾ƷºÏÓÃʱ£¬Ó¦Ô¤·ÀµÍ¼ØÑªÖ¢¡£
£¨5£©¦ÂÊÜÌå×èÖͼÁÓ뱾ƷºÏÓã¬Óе¼Ö·¿ÊÒ´«µ¼×èÖͲúÉúÑϳÁÐ͝¹ý»ºµÄ¿ÉÄÜ¡£µ«²¢²»Åųý¦Â×èÖͼÁÓÃÓÚÑóµØ»Æ²»ÄܽÚÔìÐÄÊÒÂʵÄÊÒÉÏÐÔ¼±¾çÐÄÂɱä̬¡£
£¨6£©Óë¿üÄᶡͬÓ㬿Éʹ±¾Æ·ÑªÒ©Å¨¶ÈÌá¸ßÔ¼Ò»±¶£¬Á½Ò©ºÏÓÃʱӦ×üõµØ¸ßÐÁÓÃÁ¿1/2¡«1/3¡£
£¨7£©ÓëάÀÅÁÃס¢µØ¶ûÁò?¡¢°·µâͪºÏÓ㬿ÉÒýÆðÑϳÁÐ͝¹ý»º¡£
£¨8£©ÂÝÄÚõ¥¿Éµ¢¸é±¾Æ·°ëË¥ÆÚ¡£
£¨9£©Ñª¹ÜÑÏÖØËØ×ª»»Ã¸ÒÖÔì¼Á¼°ÆäÊÜÌåÞ׿¹¼Á¿Éʹ±¾Æ·ÑªÒ©Å¨¶ÈÔö¸ß¡£
£¨10£©ßÅßáÃÀÐÁ£¨indomethacin£©¿Éʹ±¾Æ·°ëË¥ÆÚµ¢¸é£¬Ðè¼à²âѪҩŨ¶È¼°Ðĵçͼ¡£
£¨11£©Óë¸ÎËØÍ¬Óã¬Äܲ¿ÃŵÖÏû¸ÎËØµÄ¿¹Äý×÷ÓÃ,¸Ã°ÑÎȵ÷Õû¸ÎËØÓÃÁ¿¡£
£¨12£©ÑóµØ»Æ»¯Ê±¾²ÂöÓÃÁòËáþӦ¼«ÆäÉóÉ÷£¬¿É²úÉúÐÄÔà´«µ¼×èÖÍ¡£
£¨13£©ºìÃ¹ËØ¿ÉÔö³¤±¾Æ·ÔÚθ³¦Â·µÄÎüÊÕ¡£
¡¾Ò©Îï¹ýÁ¿¡¿
δ½øÐиÃÏî³¢ÊÔÇÒÎÞ¿¿µÃס²Î¿¼Îļþ¡£
¡¾Ò©Àí¶¾Àí¡¿
Ò½ÖμÁÁ¿Ê±ÓµÓУº
1.ÕýÐÔ¼¡Á¦×÷Ó㺱¾Æ·Ñ¡ÔñÐÔµØÓëÐļ¡Ï¸°ûĤNa+-K+-ATPø½áºÏ¶øÒÖÔì¸Ãø»îÐÔ£¬Ê¹Ðļ¡Ï¸°ûĤÄÚ±íNa+-K+×Ô¶¯Å¼Áª×ªÔËÊÜËð£¬Ðļ¡Ï¸°ûÄÚNa+Ũ¶ÈÉý¸ß£¬´Ó¶øÊ¹¼¡Ä¤ÉÏNa+-Ca2+»¥»»Ç÷ÓÚ»îÔ¾£¬Ê¹Ï¸°û½¬ÄÚCa2£«Ôö¶à£»¼¡½¬ÍøÄÚCa2+´¢Á¿ÒàÔö¶à£¬Ðļ¡ÐË·Üʱ£¬Óн϶àµÄCa2+¿ªÊÍ£»Ðļ¡Ï¸°ûÄÚCa2+Ũ¶ÈÔö¸ß£¬Ðļ¡ÊÕËõµ°°×¼¤°º¼ÓÇ¿´Ó¶øÔö³¤Ðļ¡ÊÕËõÁ¦¡£
2.¸ºÐÔÆµÂÊ×÷ÓãºÓÉÓÚÆäÕýÐÔ¼¡Á¦×÷Óã¬Ê¹Ë¥½ßÐÄÔàÐÄÊä³öÁ¿Ôö³¤£¬ÑªÁ÷¶¯Á¦Ñ§¸ÄÉÆ£¬½â³ý½»¸ÐÉñ¾ÕÅÁ¦µÄ·´ÉäÐÔÔö¸ß£¬²¢¼ÓÇ¿ÃÔ×ßÉñ¾ÕÅÁ¦£¬Òò¶ø¼õÂýÐÄÂÊ¡¢ÑÓ»º·¿ÊÒ´«µ¼¡£´Ë±í£¬Ó×¼ÁÁ¿Ê±Ìá¸ßñ¼·¿½á¶ÔÃÔ×ßÉñ¾¼¤°ºµÄÃô¸ÐÐÔ£¬¿É¼ÓÇ¿Æä¼õÂýÐÄÂÊ×÷Óá£ÓÉÓÚÆä¸ºÐÔÆµÂÊ×÷Óã¬Ê¹ÊæÕÅÆÚÏà¶Ôµ¢¸é£¬ÓÐÀûÓÚÔö³¤Ðļ¡Ñª¹©£»´ó¼ÁÁ¿Ôò¿ÉÖ±½ÓÒÖÔìñ¼·¿½á¡¢·¿ÊÒ½áºÍÏ£ÊÏÊø¶ø³öÏÖñ¼ÐÔÐ͝¹ý»ººÍ·ÖÆçˮƽµÄ·¿ÊÒ´«µ¼×èÖÍ¡£
3.ͨ¹ý¶ÔÐç»î¶¯µÄÖ±½Ó×÷ÓúͶÔÃÔ×ßÉñ¾µÄ¼ä½Ó×÷Ó㬽µµÍñ¼·¿½á×ÔÂÉÐÔ£»Ìá¸ßÆÖ¿ÏÒ°ÏËά×ÔÂÉÐÔ£»¼õÂý·¿Êҽᴫµ¼¿ìÂÊ£¬µ¢¸éÆäÓÐЧ²»Ó¦ÆÚ£¬µ¼Ö·¿ÊÒ½áÒþÄäÐÔ´«µ¼Ôö³¤£¬¿É¼õÂýÐÄ·¿Ï˲ü»òÐÄ·¿ÆË¶¯µÄÐÄÊÒÂÊ£»ÓÉÓÚ±¾Ò©Ëõ¶ÌÐÄ·¿ÓÐЧ²»Ó¦ÆÚ£¬µ±ÓÃÓÚ·¿ÐÔÐ͝¹ý¿ìºÍ·¿ÆËʱ£¬¿ÉÄܵ¼ÖÂÐÄ·¿ÂʵļӿìºÍÐÄ·¿ÆË¶¯×ªÎªÐÄ·¿Ï˲ü£»Ëõ¶ÌÆÖ¿ÏÒ°ÏËάÓÐЧ²»Ó¦ÆÚ¡£
¡¾Ò©´ú¶¯Á¦Ñ§¡¿
µØ¸ßÐÁΪÓÉ뻨Ñ󵨻ÆÌá´¿ÔìµÃµÄÖÐЧǿÐÄÜÕ£¬ÆäÌØµãÊÇÉø³ö½Ï¿ì¶øÐî»ýÐÔ½ÏÓ×£¬ÁÙ´²Ê¹ÓñÈÑóµØ»ÆÆ¬ºÍÑóµØ»Æ¶¾ÜÕ°²È«¡£¿Ú·þÖØÒª¾Ó׳¦Éϲ¿ÎüÊÕ£¬ÎüÊÕ²»ÆëÈ«£¬Ò²²»¹æ¶¨£¬¿Ú·þÎüÊÕÂÊÔ¼75%£¬ÉúÎïÀûÓÃ¶ÈÆ¬¼ÁΪ60%¡«80%£¬õ¯¼ÁΪ70%¡«85%£¬¿Ú·þÆðЧ¹¦·ò0.5¡«2Ó×ʱ£¬Ñª½¬Å¨¶È´ï·å¹¦·ò2¡«3Ó×ʱ£¬»ñ×î´óЧӦ¹¦·òΪ2¡«6Ó×ʱ¡£×÷ÓÃά³Ö4¡«7Ì죻¾²Âö×¢ÉäÆðЧ¹¦·ò5¡«30·ÖÖÓ£¬´ï·å¹¦·ò1¡«4Ó×ʱ£¬³ÖÐø¹¦·ò6Ó×ʱ¡£×¢Éä¸øÒ©Ò×Ö²»Á¼·´Ó³£¬¹Ê½öºÏÓÃÓÚÑϳÁÐÄË¥±ØÒªµ±¼´Ò½ÖεIJ¡ÈË¡£É¢²¼£ºÎüÊÕºó¿í·ºÉ¢²¼µ½¸÷×éÖ¯£¬²¿Ãžµ¨Â·½øÈ볦·¶øÐγɸΨC³¦Ñ»·¡£Ñª½¬µ°°×½áºÏÂʵͣ¬Îª20%¡«25%£¬±í¹ÛÉ¢²¼ÈÝ»ýΪ6¡«10L/©K¡£ ´úлÓëÉø³ö£ºµØ¸ßÐÁÔÚÌåÄÚת»¯´úлºÜÉÙ£¬ÖØÒªÒÔÕæÏàÓÉÉöÅųý£¬ÄòÖÐÅųöÁ¿ÎªÓÃÁ¿µÄ50%¡«70%£»µØ¸ßÐÁ½â³ý°ëË¥ÆÚ¾ùÔÈΪ35Ó×ʱ¡£
¡¾Öü²Ø¡¿ÃÜ·â±£Áô¡£
¡¾°ü×°¡¿²£Á§Æ¿£¬30ml/Æ¿£¬1Æ¿/ºÐ£»100ml/Æ¿£¬1Æ¿/ºÐ
¡¾ÓÐЧÆÚ¡¿24¸öÔÂ
¡¾Ö´Ðг߶ȡ¿¡¶ÖлªÈËÃñ¹²ºÍ¹úÒ©µä¡·2015Äê°æ£¨¶þ²¿£©
¡¾ºË×¼Îĺš¿¹úÒ©×¼×ÖH10970389
¡¾³ö²úÆóÒµ¡¿
ÆóÒµÃû³Æ£º±±¾©»ªÈó¸ß¿ÆÌìȻҩÎïÓÐÏÞ¹«Ë¾
³ö²úµØÖ·£º±±¾©ÊÐÑÓÇìÇøÑÓÇìÕòæ£Ë®ÄϽÖ11ºÅ
ÓÊÕþ±àÂ룺102100
µç»°ºÅÂ룺400¡ª1698808
´«ÕæºÅÂ룺010¡ª81192559